近日,华中师范大学与山东大学团队在高能重离子碰撞的喷注理论研究中取得重要进展。研究结果以“Flavor Hierarchy of Jet Energy Correlators inside the Quark-Gluon Plasma”为题,于2025年2月5日发表在《物理评论快报》上。该工作由山东大学特别资助类博士后(华中师范大学2022届博士毕业生)邢文静、山东大学曹杉杉教授、华中师范大学秦广友教授和王新年教授共同合作完成。
在高能核子或原子核碰撞中,会产生高能量的夸克与胶子,它们通过部分子簇射和碎裂转化为可探测的强子束(即喷注)。量子色动力学(QCD)预言,重夸克由于质量效应其前向的簇射过程会受到抑制,被称为“死角效应”。2022年,LHC-ALICE团队在质子-质子碰撞实验中,通过迭代分簇技术分析了D介子喷注与单举喷注的劈裂顶点与角度,首次观测到粲夸克的死角效应,成果发表于《自然》杂志。然而,在更复杂的重离子碰撞环境下,夸克胶子等离子体对死角效应的影响仍需进一步探索。
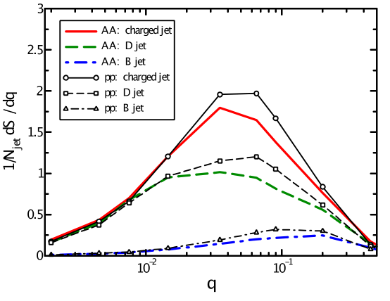
近期,喷注内能量关联因其对不同标度物理的敏感性而备受关注。本工作基于线性玻尔兹曼输运模型,首次对重离子碰撞中轻味/重味喷注与夸克胶子等离子体的相互作用进行全动态模拟,系统计算了两类喷注的能量关联函数。结果显示,重味喷注因死角效应其能量关联强度整体弱于轻味喷注,且关联峰位向大角度偏移。相较于质子-质子碰撞,重离子碰撞中的喷注能量关联呈现独特的核修正特征:中间角度被压制,而小角度与大角度有增强效应。研究结果揭示了喷注与热密介质相互作用中质量效应、能量损失、韧致辐射和介质响应等丰富的物理过程,为探索相对论重离子碰撞中强相互作用物质的性质提供了新途径。该研究的数值模拟与计算主要依托于华中师范大学核科学计算中心(NSC3)进行,并得到了国家自然科学基金与中国博士后科学基金等项目的支持。
文章链接:
https://journals.aps.org/prl/abstract/10.1103/PhysRevLett.134.052301


